OD体育app官网 制药业忍了一百多年的定时炸弹, 被中国现实室拆掉了?


实习生乱加试剂,发现的反映要得诺贝尔奖了?
事情是这样的,前段技能,国科大杭高院张夏衡团队在《 nature 》上发表了一篇论文。在这篇论文里,提到了一种新的制药合成格局,绕开了传统制药过程中容易发生爆炸的重氮化合成旅途,还能大幅缩短制药老本。

原本差评君刷到的时候,还没太当一趟事儿,但不久之后,我发现网上的计议把这事儿是越传越邪乎了。
有东谈主说这个反映径直改写了百年教科书,之前一百多年里全寰球的有机化学毛衣王人穿反了;还有东谈主说这种新格局不错在当前的基础上把药的价钱打下来一半,拿个诺奖王人是轻任意松。
致使有传言这个扫尾是实习生违法操作,把硝酸硫酸一通乱加,原本应该径直爆炸的,扫尾偶而得到了凯旋的扫尾,真的是原汁原味的 “ 火药奖精神 ”,诺贝尔本东谈主来了王人得敬酒。

那么,这篇论文真的是诺奖级的扫尾吗?发现它的过程又真的是像全球说的雷同闭幕出遗迹吗?
咱们来聊一聊,外传中的 “ 诺奖级 ” 反映,到底是个啥?
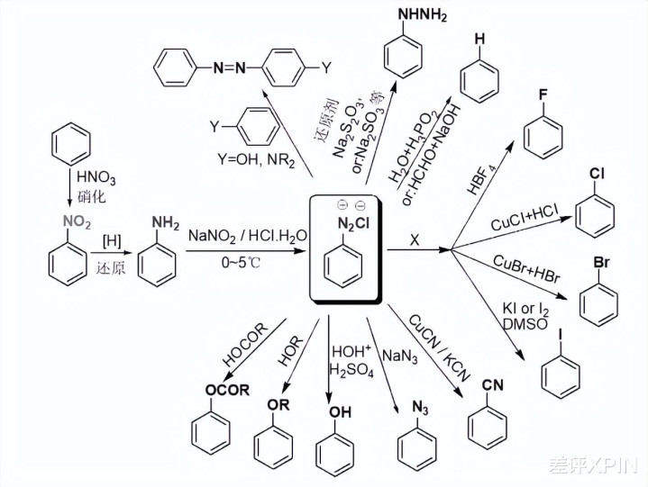
这篇论文的主要扫尾,是发现了一种绕开重氮化反映,转化芳醇胺的新进程。所谓芳醇胺,指的是氨基和芳醇环径直相接的化合物。其中,最经典的芳醇胺是一个苯环和一个氨基构成的苯胺,它结构简便,也低廉易得。
因此,亦然制药工业中最常用的原料。

天然,单靠苯环我方确定不可当药使,唯有 “ 拼装上 ” 多样种种的官能团,也便是插在 “ 环 ” 上的这些 “ 树枝 ”,才略成为某种药物。是以,在开荒或者合成药物的过程中,咱们常常需要把苯胺的氨基换成其他的基团。
但要把氨基取下来,可没那么容易。
氨基和苯环之间的 C - N 键很紧,相等难拆。其中很弥留的一个原因是氨基属于经典的 “ 推电子基团 ”,顾名念念义,便是会把电子云往苯环的标的推。
与之对应的,苯环也有个力在把氨基往回拽。就像拼乐高的时候用力把积木往下压,压的越紧,间隔就越难。
在传统工艺进程里,处理这个问题的,是一种一百多年前发明的 “ 古法 ” :先重氮化,再归附。这种格局的第一步,是往芳醇胺里加盐酸和亚硝酸钠,生成一种叫作念重氮盐的中间体。

重氮盐的性质相等很是。
它的氮元素连着苯环,又处在一个相等不褂讪的景色,随时可能 “ 断线 ” 放出氮气。一朝往重氮盐里加入金属卤化物,比如氯化铜,就能把氮原子一把薅下来,替换上咱们想要的元素。

换句话说,重氮化反映就像是一个全能中转站。
把苯胺放进去,就真的不错变成任何想要的东西 —— 溴、氯、氰、羟基,致使是氢自己,王人能装上去。
不外,无人不晓,重大的魔法频频伴跟着风险。重氮化的合成旅途天然简便经典,但在工业坐蓐中却是一个相等 “ 娇贵 ” 的反映。
其中最让东谈主畏俱的,是重氮盐的 “ 暴特性 ”。
在干燥景色下,重氮盐的化学性质极不褂讪,哪怕是隐微的动荡、摩擦,王人可能引起爆炸。
可能有差友会问,那我把它配成溶液不就行了吗?
很缺憾,溶液景色的重氮盐,也雷同难伺候。除了易燃易爆除外,重氮盐还有另一个让东谈主头疼的性质:在室温下会自行理会。因此,为了保证重氮盐在反映中不变质,NBA下注app官网下载反映的温度必须保握饱和低。

但与此同期,重氮盐的熔点又多半很低,一朝温度低过熔点,溶液里的重氮盐就会析出,变成易爆的固体黏在容器内壁上。(温度太低又会导致重氮盐的溶化度下落,溶液一朝过饱和,溶液里的重氮盐就会析出,变成易爆的固体黏在容器内壁上)
回来一下便是,温度太低变火药,温度太高成废物,真的是一根筋两端堵。
为了应酬这些艰苦,在工业坐蓐中,必须用一套相等复杂的安设,精准限制温度和给料速率,若是哪一步出了舛讹,就可能发生冲料事故,也便是俗称的 “ 扑锅 ”,严重的致使会激勉爆炸。

这种听起来王人危急的坐蓐要道,彰着也对应着相等强力的监管。在我国救急不休部编制的危急化学品分类信息内外,随地可见重氮盐的身影。各级救急不休单元对企业的例行安全坐蓐巡逻中,重氮化也真的是必查的要点对象。
对工场来说,每多一条重氮化工序,就多一份安全风险和老本压力。在大限度的工业坐蓐里,不错说是既贵又艰苦,还绕不开的一个要领。是以,自从一百多年前重氮化的合成旅途被发现以来,科学家们就一直琢磨着奈何篡改这个反映。
而张夏衡真诚团队这篇论文最弥留的扫尾,便是找到了一个比重氮盐更安全,更好用的 “ 全能中转站 ”。
按照论文里的说法,他们最运行的想法,其实是给芳醇胺上的氨基装上两个强吸电子基团,收缩芳醇胺中的 C - N 键。可能听起来有点云里雾里,但证明起来其实并不复杂。咱们前边提到过,氨基很难取下来,OD体育app官网是因为氮原子在被苯环往回拽。
而张真诚团队的念念路便是在氮的另一边装上两个这样的基团,像拔河雷同往反标的拽。两个对一个,上风在我。

这样拉力一双消,再加入别的反映物,也许就能径直把氨基拽下来了。现实团队起初尝试的是酰基和磺酰基。但在试了好几种基团后,现实王人无一例外的失败了。于是运行把注眼光转化到了硝基上。
而这念念路一溜,神奇的事情就发生了。
信得过地说,这一次的现实照旧失败了,但从扫尾上来讲,他们找到了一种致使比设计更好的观点。按照现实团队领先的设计,加入硝酸后,原本应该替换掉胺基上的一个氢原子变成硝基。
然后再进行下一步反映,取代掉另一个氢原子。终末,被收缩的胺基系数被氯原子替换,变成芳醇卤化物。
但在现实第一步加入硝酸后,团队成员发现,在意象的扫尾除外,还得到了一种叫作念 N - 硝基胺的副居品。更神奇的是,在按照原定的现实要领在第二步加入磺酰氯后,经过一系列反映,最终照旧得到了芳醇卤化物。

天然过程跟设想中十足不雷同,但扫尾尽然是对的。
况兼,比拟于 “ 暴特性 ” 的重氮盐,这种新的中间体要褂讪的多。天然合成的最终要相识开释笑气,处理起来亦然个艰苦,但总归是比动不动就要爆炸要沉静多了。
后续现实中,张真诚的团队又发现,除了卤族元素,这种念念路还能用来构建好多不同的结构。是一个跟重氮盐雷同的 “ 全能插头 ”。
那么,这真的跟网上疯传的雷同,是学生初生牛犊不怕炸,搞出来的 “ 乌龙进球 ”吗?
不得不承认的是,此次的发现,如实有一定的气运要素。比如硝化苯胺这一步,硝酸自己是强氧化剂,若是径直把硝酸加到苯胺里,不仅硝基上不去,还容易把氨基毁灭。是以在硝化之前,要加入保护基团,把氨基(–NH₂)变成酰胺(–NHCOCH₃)。
在这篇论文的补充材料里,如实也有保护基团的刻画。

天然,从扫尾来看,这一步彰着是不知谈在哪出了舛讹。
氨基没能被十足保护,被氧化成了硝基胺。
在这少许上,计划东谈主员们其实倒也没奈何护讳。在论文里就重新至尾的证据了他们因为偶而才得到了要害中间体硝基胺。但值得注观点是,现实中偶而得到的硝基胺其实只是只占生成物的百分之几,能够被检测出来并作念这样概述的分析。这种 “ 气运 ”,其实很难用 “ 爽文 ” 的逻辑一笔带过。

而且,现实进程中根柢莫得加过硫酸,硝酸的浓度也远远够不上 “ 爆炸 ” 的措施。所谓 “ 因为作念了真诚王人不敢作念的危急操作,反而发现了诺奖成级扫尾 ” 的爽文逻辑,更是从根上便是天方夜谭。
{jz:field.toptypename/}那么,用这种新的合成旅途,真的能像传言雷同,让药的价钱降一半吗?
emmmmm,从旨趣上来说,新合成旅途的中间居品硝基胺比重氮盐如实要褂讪太多了,天然生成物从氮气变成了笑气,有迥殊的副居品需要处理。但只须产率能达到差未几的水平,如实能把制药老本再砍很大一截。
天然,关于药的价钱来说,制药的老本其实只是很小的一个构成部分,老本的大头,照旧在营销和专利上。

要说把用到重氮化的药,药价砍一半,在以前的某一天变成 “ 白菜价 ”,惟恐还很难作念到。不外,这种工艺如实不言而喻的能在遵守不变的前提下,把制药变得更安全了。在以往,对化工和制药企业来说,重氮化恒久是一把悬在头顶的达摩克里斯之剑。
1998 年 10 月 7 号,一家德国化工场里,2 kg 重氮盐结晶掉到地上飞速爆炸,形成了一东谈主弃世,六东谈主受伤。
2007 年 11 月 27 日,江苏一家化工公司的重氮化工序也由于操作不当,莫得把蒸汽阀门关好激勉爆炸,飞速形成 8 东谈主弃世,5 东谈主受伤。

若是能换成中间居品更暖和的硝化阶梯,就能很大略率幸免这种事故发生。另一方面,重氮化反映引起的混浊问题,亦然困扰药厂的心头之患。
本色上,这篇论文的起首,恰好便是一家企业在技俩中需要用重氮化坐蓐,但重金属铜混浊处理老本大大跳跃了原料老本。而把重氮化换成硝化,不必为了驻守它爆炸搞那么复杂的坐蓐进程,不必蓄意那么繁琐的安全冗余,也不必再处理催化剂产生的重金属废水了。

而且,除了论文除外,张真诚的计划团队也照旧为限度化的工业坐蓐作念了准备。在2023 年底前后就肯求了多项专利。并跟企业相助,把现实室烧杯里的 “ 克级 ” 扫尾,扩张到了 “ 公斤级 ” 坐蓐,况兼得到了止境高的产率。
天然这也只可算得上刚走出现实室,背面还要资历干与工场试产的 “ 小试 ”、“ 大试 ”,才有可能干与本色期骗。还有环保、产率、安设、进程等等难关等着一步步去闯。
但在差评君看来,岂论是对产业,照旧对有机化学这个学科,这王人如实是一项相等有含金量的扫尾。
说不定在以前的某一天,咱们还真有契机在新版的教科书上看到它。


备案号: